產品列表
聯系我們
銷售熱線:0632-5113088
外貿電話:0632-5113066
公司傳真:0632-5113155
地址:山東省棗莊市市中區水處理劑產業園(十里泉東路1號)
E-mail:th@thwater.com
外貿電話:0632-5113066
公司傳真:0632-5113155
地址:山東省棗莊市市中區水處理劑產業園(十里泉東路1號)
E-mail:th@thwater.com
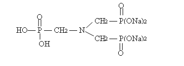
氨基三甲叉膦酸四鈉 ATMP•Na4Tetra sodium salt of Amino Trimethylene Phosphonic Acid (ATMP•Na4)
別名:氨基三亞甲基膦酸四鈉 CAS No. 20592-85-2 分子式 C3H8NO9P3Na4 相對分子質量:387 結構式
一、性能與用途:ATMP•Na4是ATMP的中性鈉鹽,可阻止水中成垢鹽類形成水垢,特別是碳酸鈣垢的形成。 ATMP•Na4適用于火力發電廠、煉油廠的循環冷卻水、油田回注水系統,反滲透膜的阻垢劑。ATMP•Na4對于其他一些添加劑也有很好的相容性。ATMP•Na4特別適用于中性到酸性配方中,無氨味產生。 二、技術指標
三、使用方法ATMP•Na4與其它有機膦酸、聚羧酸或聚羧酸鹽等復配成有機堿性水處理劑,用于各種不同水質條件的循環冷卻水系統。 四、包裝與貯存ATMP•Na4用塑料桶包裝,每桶30Kg 或250Kg,也可根據用戶需要確定。ATMP•Na4貯于室內陰涼處,貯存期十二個月。 五、安全防護ATMP•Na4為中性,操作時注意勞動保護,應避免與皮膚、眼睛等接觸,接觸后用大量清水沖洗。 |
|||||||||||||||||
|
|||||||||||||||||
| 關鍵字: 氨基三亞甲基膦酸鈉 ATMP•Na4,氨基三甲叉膦酸四鈉 ATMP•Na4,有機膦酸鹽 |
