二乙烯三胺五甲叉膦酸 DETPMP
Diethylene Triamine Penta (Methylene Phosphonic Acid) (DTPMPA)
CAS No. 15827-60-8
分子式 C9H28O15N3P5 相對分子質量:573.2
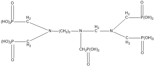
結構式

一、性能與用途
二乙烯三胺五甲叉膦酸無毒,易溶于酸性溶液中,阻垢緩蝕效果俱佳且耐溫性好,可抑制碳酸鹽、硫酸鹽垢的生成,在堿性環境和高溫下(210℃以上)阻垢緩蝕性能較其它有機膦好。二乙烯三胺五甲叉膦酸在水處理中用作循環冷卻水和鍋爐水的阻垢緩蝕劑,特別適用于堿性循環冷卻水中作為不調pH的阻垢緩蝕劑,并可用于含碳酸鋇高的油田注水和冷卻水、鍋爐水的阻垢緩蝕劑;在復配藥劑中單獨使用本品,無需投加分散劑,污垢沉積量仍很小。
二乙烯三胺五甲叉膦酸也可用作過氧化物穩定劑(特別是高溫條件下雙氧水穩定效果好)、紡織印染用螯合劑、顏料的分散劑、氧脫木素穩定劑、化肥中微量元素攜帶劑、混凝土添加劑。此外,在造紙、電鍍、金屬酸洗和化妝品等方面也得到了廣泛應用。還可作氧化性殺菌劑的穩定劑。
二、技術指標 符合HG/T 3777-2005
| 項
目 |
指 標 |
| HG/T 3777-2005 |
| 外 觀 |
棕黃色或棕紅色粘稠液體 |
| 活性組分/% |
≥50.0 |
| 亞磷酸(以PO33-計)/% |
≤3.0 |
| pH(1%水溶液) |
≤2.0 |
| 密度(20℃) /g·cm-3 |
1.35~1.45 |
| Fe(以Fe2+計)含量/mg·L-1 |
≤35 |
| 氯化物(以Cl-計)/% |
12.0~17.0 |
三、使用方法
二乙烯三胺五甲叉膦酸作阻垢劑一般使用濃度1~30mg/L,作清洗劑一般使用濃度1000~2000mg/L;通常與聚羧酸型阻垢分散劑配合使用。在其他行業使用時,應根據試驗確定用量。
二乙烯三胺五甲叉膦酸也可用作過氧化物穩定劑、紡織印染用螯合劑、顏料的分散劑、氧脫木素穩定劑、化肥中微量元素攜帶劑、混凝土添加劑。此外,在造紙、電鍍、金屬酸洗和化妝品等方面也得到了廣泛應用。還可作氧化性殺菌劑的穩定劑。
四、包裝與貯存
二乙烯三胺五甲叉膦酸用塑料桶包裝,每桶30kg或根據用戶需要確定。貯于室內陰涼處,貯存期為十二個月。
五、安全防護
二乙烯三胺五甲叉膦酸為酸性,操作時注意勞動保護,應避免與皮膚、眼睛等接觸,接觸后用大量清水沖洗。